Do they really work and, if so, how?
By Gary Hatch, Ph.D.
Introduction
Chlorine and chlorine compounds
Activated charcoal (otherwise referred to as activated carbon) has been known for many years to be a very effective material for dechlorinating water. This process, the chemical removal mechanism(s) and the resulting byproducts have been studied extensively over the last 30 to 40 years. Chlorine and its active oxidative chlorine compounds are capable of being chemically reduced by activated carbon. The primary free chlorine and combined chlorine compounds (derived from ammonia) are listed in Table 1.
Free chlorine as ‘molecular chlorine’ is a gas under ambient temperature and pressure. When bubbled into water, it reacts (hydrolyzes) almost immediately to form hypochlorous acid (HOCl):
(1) Cl2 + H2O ↔ HOCl + H+ + Cl–
HOCl can also disassociate in water, depending on the pH, to form hypochlorite ion:
(2) HOCl + OH– (aqueous) ↔ H2O + OCl–
The higher the pH (more hydroxide ion, OH–) the more hypochlorite is formed. All three forms of free chlorine are strong oxidants and react very effectively with activated carbon. The relative oxidative strengths of each form of free chlorine are compared to monochloramine:
Cl2 ≈> HOCl > OCl– >> NH2Cl
Combined chlorine compounds are the reaction products of free chlorine with ammonia or ammonia-based compounds (usually organics such as amines or amides). The typical water disinfection process utilized in most municipal treatment today combines ammonia (usually after one to two minutes of adding chlorine) to form monochloramine, NH2Cl. This is done to minimize chlorine DBPs such as trihalomethanes (THMs) and haloacetic acids (HAAs) in drinking water. The resulting monochloramine is not as aggressive an oxidant as free chlorine and, therefore, does not generate significant amounts of DBPs, which are regulated in the US EPA Primary Drinking Water Regulations. As a result, it also does not react as strongly with activated carbon.
The reaction of free chlorine (as HOCl) with ammonia to form monochloramine (NH2Cl) is shown below:
(3) HOCl + NH3 ↔ NH2Cl + H2O
Dichloramine (NHCl2) and trichloramine (NCl3) can be formed with higher concentrations of free chlorine relative to ammonia and by lowering the pH to the acidic range (< 7). NHCl2 and NCl3 are much stronger oxidants than NH2Cl but less stable, especially at the pH range 8-9, where monochloramine is typically utilized.
Activated carbon (AC)
AC can be made from essentially any carbonaceous starting material, such as cellulosics or organic compounds of high carbon content: wood, nut shells, coal, etc. Cellulosics or wood must first be converted to char by burning under a very low oxygen atmosphere. Most coals initially contain very high char content but also may have high volatiles content (naphtha and aromatics). Before processing (activating), the volatiles must be burned off. After preparing the char, the carbonaceous material must then be ‘activated’. This is a process whereby the internal structure of the charred particles is fractured and opened to form adsorptive and transport pores. This is usually done with high-pressure and high-temperature steam. After activation, the particles are ground to various ‘mesh’ sizes for many different applications, such as water treatment, gas stream treatment, catalysis and decolorization processes.
Depending on the type of starting material and degree of activation, the adsorptive and transport pores in AC can be of various sizes and pore volume. Also depending on the starting material and post-processing (e.g., acid washing), the AC can have significant ash content. For example, coal-based AC can have a significant percentage of ash, which is made up of residual minerals (silica, iron, aluminum and other metal oxides). The pore size distribution and pore volume associated with an AC is what gives the different types their distinctive adsorptive properties.
Physical removal of a contaminant from water by AC involves a two-step process: absorption (internal transport through pores) and adsorption (surface retention or entrapment). Absorption is the first process that a contaminant undergoes before it can be adsorbed (trapped) in a pore. The contaminant first enters a large pore (macropore—50-100 nanometers—1 nm = 10–9 meter) and as it diffuses further into the pores, it then contacts the pore wall and is adsorbed on or in an active site. The actual removal mechanism for a contaminant can happen as physical entrapment or as a chemical reaction. Nonreactive DBPs mentioned above are physically trapped within the smaller pores (micropores—1-5 nm and mesopores—5-50 nm), whereas strong oxidants like free chlorine and combined chlorine actually chemically react with certain active sites. These sites can consist of reactive carbon-hydrogen bond sites (–C-H), unsaturated linear (ethylene) carbon-carbon double bonds (–C=C–), carbonyl (O=CH-) and phenolic functional sites. This reaction can be described in general terms as:
(4) [Chlorine Oxidant] + C* → CO* + Cl–
where C* represents the virgin AC active sites and CO* represents an intermediate, oxidized site. Note that the chlorine oxidant is now chemically reduced to the non-reactive chloride ion (Cl–), which no longer imparts objectionable chlorinous taste and odor to the water.
Monochloramine reduction by ordinary AC and catalytic carbon
In the last 10 to 20 years, several AC products have been developed that claim to have enhanced catalytic properties for special applications in water treatment. Among these claims is the enhanced removal of chloramine from water. As mentioned above, many municipalities have switched from free chlorine to chloramination for better control of DBP formation. So-called ordinary AC (standard AC product) is found to have very limited capacity for removing monochloramine from water, as compared to removing free chlorine. This is mainly because the oxidative strength of chloramine is less than free chlorine. Researchers have proposed the following two-step ‘steady state’ reactions for the monochloramine reaction with AC:
(5) NH2Cl + H2O + C* → NH3 + CO* + H+ + Cl–
(6) 2NH2Cl + CO* → N2 + C* + H2O + 2H+ + 2Cl–
Many POU activated carbon drinking water treatment unit (DWTU) manufacturers have always relied on standard AC for providing long life for free chlorine removal from drinking water. Now, because of the lower reactivity of monochloramine with standard carbon, many of these DWTUs have limited capacities, which is of even greater concern to medical device manufacturers who make dialysis equipment. With the switch to chloramination, large AC tanks (0.5-1 cu.ft. [0.014-0.028 cu. meter]) have had to be added to the pretreatment train on dialysis equipment to meet the maximum limit of 0.1 mg/L chloramine in dialysis water. To address this problem, some DWTU manufacturers have developed relatively small ‘catalytic carbon’ filter cartridges that can provide long-lasting performance for removing chloramines, as well as for enhanced removal capacities for free chlorine.
In a 2007 study comparing two carbon block cartridges made from catalytic carbon (0.092 cu.ft. of carbon—2.6 L) in series versus a tank containing 0.66 cu.ft. (18.7 L) of 12 x 40 mesh standard GAC, it was shown that the two cartridges performed at least as well as the GAC, even though the total carbon (and contact time) for the cartridges was 7.2 times less than the tank of GAC. It is well known that finer mesh carbon will increase the kinetics (decrease reaction time) of the reaction with chlorine and chloramine, but overall capacity will not be increased (if using the same base carbon under the same conditions). In this study, it was demonstrated that the two cartridges only required 41 seconds of contact time versus five minutes for the tank of GAC. Both systems showed non-detectable chloramine in effluent through 10,000 gallons (37,850 L) of 3 mg/L chloramine challenge water. The exceptional performance of carbon block cartridges results from their manufacture with very fine mesh catalytic carbon, which provides for faster reaction times and higher capacities than much larger quantities of coarser mesh standard AC.
Explanation of the enhanced activity of catalytic versus standard AC
Though reactions (5) and (6) explain the most likely chemical interactions of chloramine with AC (both standard and catalytic), they do not reveal the true nature of the active carbon sites or the difference between the ‘activity’ of standard AC versus catalytic AC. A literature search revealed three different activated carbon technologies that claim enhanced catalytic activity for chloramine removal from water (see Table 2).
All three catalytic activated carbons (CACs) claim to be specially manufactured in some way to enhance activation toward chloramine removal. According to the referenced patents, both Carbon B and Carbon A CACs have been modified by reaction of the virgin AC under pyrolyzing conditions with nitrogen-containing compounds (e.g., urea or ammonia). The Carbon C CAC reportedly has undergone ‘surface modification’ during its manufacture, but no details are given in the technical bulletin to describe the process.
The most recent study comparing the Carbon B and Carbon A CACs is presented in US Patents 6,699,393; 6,706,194 and 7,361,280. In these patents it is mentioned that the process for making the Carbon B CAC is based on US Patent 4,624,937. In the ‘937 patent, it is revealed that the primary purpose of the pyrolysis is to remove unreactive acidic oxides from the surface of the virgin AC to create new additional active sites. Also, during pyrolysis, the carbon is exposed to ammonia (NH3) or an ammonia-water (NH3–H2O) gas stream. Further, in the ‘393 patent, it is revealed that the higher the total nitrogen content on the CAC, the higher the catalytic activity toward chloramine removal (see Figure 1).
Not only is the kinetics of reaction enhanced with increased nitrogen content, but also the capacity for chloramine removal. Therefore, there can be at least three key reasons why fine mesh ‘catalytic’ AC has greater efficiency and capacity for chloramine removal than ordinary, coarse (e.g., 12 x 40-mesh) standard AC:
1. Fine mesh carbon (typically 50 to 200 mesh or 80 to 325 mesh) is used to manufacture carbon blocks. When using fine-mesh catalytic carbon, significantly more surface area is exposed for greater accessibility for reactions (5) and (6) to take place. This not only allows for faster reaction kinetics but also exposes more reaction sites to enhance performance capacity.
2. The pyrolysis process removes acidic oxides (unreactive carboxylic acid sites) from the surface of the carbon and creates more active carbon sites (C*) for oxidation to take place. As seen in reactions (4) and (5), if more C* sites are present, the carbon will have a greater catalytic activity and greater capacity for removing chloramine and also free chlorine.
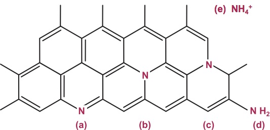
3. During the pyrolysis process described in the ‘937 patent, an ammonia-water mix is introduced to the carbon. This process adds an ’aromatic center configuration nitrogen’ species (see Figure 2, designated as [b]) to the carbon graphene surface structure. These researchers conclude that this nitrogen species is mostly responsible for the chloramine reduction activity in the Carbon B catalytic carbons.

In depicting this active nitrogen species as N*, an equation similar to reaction (5) can be written to describe this reaction:
(7) NH2Cl + H2O + N* → NH3 + NO* + H+ + Cl–
It is not known if a subsequent steady-state reaction similar to reaction (6) also takes place.
Summary
Presented are a description of the aqueous chemistry of chlorine and chloramine; an understanding of activated carbon, how it is made and the adsorption/absorption process; how chlorine and monochloramine react with AC and catalytic AC (CAC) and the proposed reasons why certain CACs have higher capacities for chloramine and free chlorine removal, and why they remove chloramine much more efficiently than ordinary AC and some other CACs. These reasons are that certain fine-mesh CACs offer much higher surface area allowing the reactants greater accessibility to the active carbon sites (C*), have more active sites than ordinary AC, and have a very specific active nitrogenous site (N*) that ordinary AC and certain other CACs do not have.
Disclaimer
The author makes no representation, either inferred or implied, as to what catalytic activated carbon is utilized in the carbon block cartridges mentioned in this article. The documents, references and other information used in preparing this article were obtained from public sources.
Acknowledgement
The author thanks Pentair Residential Filtration LLC and AmeriWater for allowing use of the Pentair Engineering Report for AmeriWater in the preparation of this article.
Bibliography
1. Baker, F.S., US Patent 7,361,280: Catalytic Activated Carbon for Removal of Chloramines from Water. April 22, 2008.
2. Baker, F.S. and J.F. Byrne, US Patent 6,699,393: Method for Removal of Chloramines from Drinking Water. March 2, 2004.
3. Baker, F.S. and J.F. Byrne, US Patent 6,706,194: Method for Removal of Chloramines from Drinking Water. March 16, 2004.
4. Bauer, R.C. and V.L. Snoeyink, J. Water Pollution Control Federation, 45, p. 2290 (1973).
5. Carrubba, R.V. et al. US Patent 5,338,458: Method for Removing Chloramine with Catalytic Carbon. August 16, 1994.
6. Chou, S.K., US Patent 4,624,937: Process for Removing Surface Oxides from Activated Carbon Catalyst. November 25, 1986.
7. Nowicki, H. et al. GAED Reveals Pore Sizes in Carbon Blocks Causing Aqueous Dechlorination Failure, Water Conditioning & Purification Magazine, pp. 46-50. December 2010.
8. Pentair Engineering Report for AmeriWater (Dayton, Ohio), Comparison of monochloramine removal from water by standard granular activated carbon (GAC) and a relatively new carbon block technology (ChlorPlus® by Pentek®). October 29, 2007.
9. Water Quality Association, Lisle, IL. Technical Application Bulletin—Chloramines: Recognized treatment techniques for meeting drinking water regulations for the reduction of chloramines from drinking water supplies using point-of-use/point-of-entry devices and systems. March 2005.
Other resources
• Calgon Carbon Corp., Pittsburgh, PA; Product Data Sheet for Centaur® Granular Activated Carbon, Carbon A
• MWV, Mead-Westvaco Corporation, Covington, VA; Product Data Bulletin for Nuchar® AquaGuard Powder, Carbon B
• Carbon Resources, Oceanside, CA; Technical Bulletin for Spartan Series® surface modified activated carbon for chloramine reduction, Carbon C
About the author
S Gary Hatch, Ph.D. is a water treatment specialist who provides services to the water treatment industry through his consulting company, Hatch Global Consulting Services LLC. He has over 38 years of experience in the areas of water filtration, water disinfection and new product research and development. Hatch was recently awarded Emeritus status at the November 2010 NSF DWTU Joint Committee Meeting and the WQA Key Award at 2010 WQA Aquatech. He is currently Chairman of the WQA Water Sciences Committee, an Emeritus member of NSF’s DWTU Joint Committee, and a member of the WC&P Technical Review Committee. Hatch can be reached at (920) 458-1427 or by email at [email protected].